Perpetuidade
- Steffano De Bellis
- 20 de jul. de 2024
- 3 min de leitura
Atualizado: 15 de jan. de 2025
Já explicado em artigos prévios, a análise de valuation é composta por três pilares principais, o valor presente de determinado fluxo de caixa projetado, uma taxa de desconto e o cálculo da perpetuidade.
Este último é utilizado para obter o valor terminal de uma empresa, projetando-se o fluxo de caixa infinitamente a partir de um último período n.
Neste caso, estamos considerando que a empresa gerará fluxos de caixa para sempre. Em termos matemáticos temos:
· FCn = Fluxo de Caixa no período n
· g = Crescimento na Perpetuidade
· Rp = Taxa de Desconto na perpetuidade
· N = período
Crescimento na Perpetuidade
O crescimento na perpetuidade (g) nada mais é do que uma estimativa da taxa de crescimento constante dos fluxos de caixa de uma determinada empresa. Fazemos isto pois espera-se que a empresa sendo analisada não pare de crescer de forma abrupta.
Em alguns casos em empresas que possuem concessões ou contratos com uma data de validade, ao invés de calcularmos a perpetuidade, podemos estender a projeção dos fluxos de caixa até o período de encerramento da concessão/contrato.
A estimativa de uma taxa de crescimento deve ser realizada com parcimônia pois o valuation de uma empresa tende a ser muito sensível ao cálculo da perpetuidade, ou seja, Uma taxa de crescimento muito alta e não sustentável pode levar a avaliações excessivamente otimistas ou irreais. Por exemplo não é razoável uma empresa crescer 20% ao ano para sempre (em algum momento ela se torna maior do que a economia global). Por isso é normal adotar algo mais perto da projeção de inflação de longo prazo.
Podemos verificar a consistência do crescimento na perpetuidade projetado por meio da fórmula:
· t = taxa de imposto
· g = Crescimento na Perpetuidade
Está fórmula nos ajuda a checar a consistência do g pois relaciona o quanto a empresa reinveste e o quanto consegue ter de retorno neste investimento.
Breve Explicação da Fórmula do Cálculo da Perpetuidade
Ao removermos a taxa de crescimento, temos a seguinte fórmula:
· FCn = Fluxo de Caixa no período n
· Rp = Taxa de Desconto na perpetuidade
Por que para o cálculo do valor presente de uma série infinita de fluxos de caixa apenas dividimos o último fluxo pela taxa de desconto?
A fórmula acima deriva da soma de uma série geométrica infinita. Para ilustrar, vamos considerar a fórmula do valor presente de uma anuidade (série finita de pagamentos):
Para uma perpetuidade, o número de períodos (n) tende ao infinito. A soma dos valores presentes dos fluxos de caixa pode ser representada como:
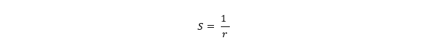
A soma S de uma série geométrica infinita com primeiro termo (a) e razão (q) (∣q∣<1) é dada por:
Para a nossa série, temos o primeiro termo a = 1/(1+r) e a razão q = 1/(1+r). Portanto, temos a soma da progressão geométrica como:
Simplificando o denominador temos:
Portanto:
Então, na fórmula do valor presente:
Por isso, uma série de fluxos de caixa infinitos trazidos a valor presente por uma taxa de desconto pode ser descrito como:
Conclusão
O processo de valuation é subdivido em algumas partes diferentes e todas devem ser analisadas com atenção para reduzir o risco de modelar algo muito divergente da realidade.
Esta etapa é de extrema importância pois o valor presente da perpetuidade representa uma grande fatia do valor de uma empresa (quando consideramos uma visão de longo prazo), caso seja feito de maneira displicente podemos acabar com uma análise que aponta para a direção errada.
Gostou do artigo? Fique a vontade para marcar uma conversa!















